全讯网-皇冠网_百家乐网_全讯网娱乐 (中国)·官方网站

北理工團隊在轉角石墨烯體系的二階非線性霍爾輸運研究中取得重要進展


近日,北京理工大學物理學院姚裕貴教授、段俊熙副研究員團隊在轉角石墨烯體系的二階非線性霍爾輸運研究中取得重要進展。研究成果發表于物理學期刊《Physical Review Letters》。北京理工大學為該研究工作的第一完成單位。北京理工大學物理學院的段俊熙副研究員和姚裕貴教授以及中國科學技術大學的高陽教授為本文的共同通訊作者。段俊熙和物理學院博士生簡昱(目前就職于華為)為論文的共同第一作者。

霍爾效應一直以來是凝聚態物理中非常熱門的研究課題,霍爾效應家族也有眾多成員。對各類霍爾效應量子本質的深入理解為凝聚態研究引入了諸如貝里相位、拓撲陳數等新奇概念。在線性響應框架內,要獲得非零的霍爾信號,體系需要破壞時間反演對稱性。近年來,被稱為二階非線性霍爾效應的輸運現象獲得了廣泛的關注。這一效應不僅可以用于探索能帶結構的高階拓撲性質,在信號倍頻以及整流方面也有潛在的應用。在二階響應下,時間反演對稱性破缺并不是必須的。相反的,二階非線性霍爾起源于空間反演對稱性的破缺。二階非線性霍爾效應根據其產生機制,可以分為內稟和散射引起兩類。前者由能帶貝里曲率的不均勻分布導致,對體系的晶格對稱性除了空間反演破缺外還有更嚴格的要求,但是其產生的響應往往較弱。另一方面,散射在輸運過程中起著非常重要的作用。不同于反?;魻栃猩⑸湟鸬臋C制與內稟機制貢獻相當,在非線性霍爾效應中,理論預言散射機制可以起主導作用。然而,目前已有的報道中對散射機制的研究非常少,并且對散射機制的區分過于簡單。此外,對聲子散射在非線性霍爾效應中的貢獻尚未有涉及。

北京理工大學姚裕貴教授團隊長期致力于新型二維拓撲材料輸運性質的研究。為了研究散射引起的二階非線性霍爾效應以及對散射機制有深刻了解,研究團隊選擇了高質量的轉角石墨烯樣品作為研究體系。這一體系有以下幾個優點:(1). 轉角石墨烯體系具有C3對稱性,可以確保體系中沒有內稟貢獻;(2). 轉角石墨烯體系天然存在莫爾超晶格帶隙。根據理論計算,散射機制的貢獻在帶隙邊緣有極大值;(3). 石墨烯體系的高遷移率以及柵極可控的費米能級對獲得強散射機制的貢獻至關重要。

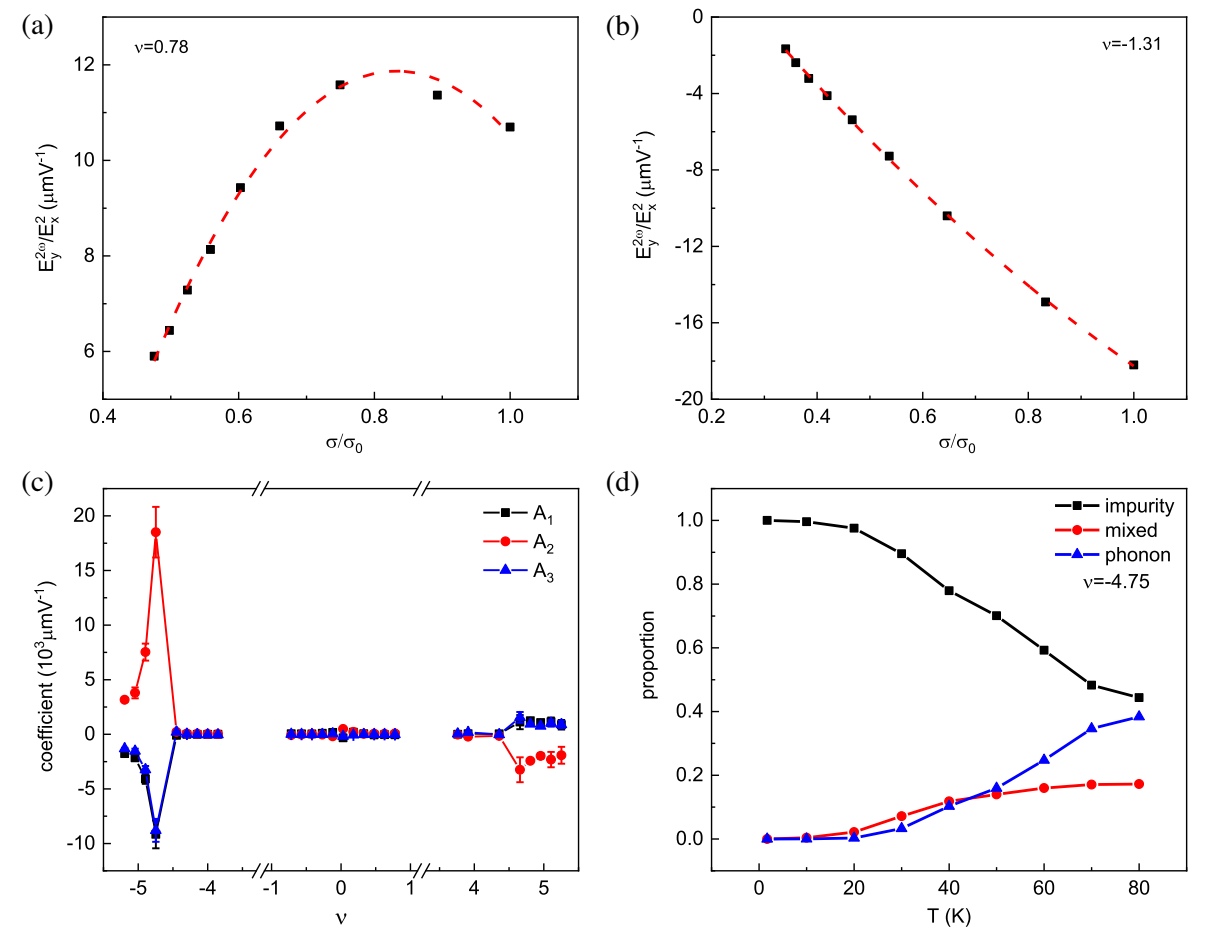
圖1. 轉角石墨烯中的巨二階非線性霍爾效應

該研究工作有以下兩個亮點:(1). 研究團隊首次在轉角石墨烯體系中觀測到了巨非線性霍爾效應。獲得的非線性霍爾電導比之前報道的WTe2以及轉角WSe2等體系中的觀測值至少大兩個量級,如圖1所示。(2). 通過標度分析,研究團隊首次嚴格區分了散射機制中不同散射源的貢獻。不同于之前研究中只討論了雜質引起的skew scattering,該工作首次觀測到了聲子引起的skew scattering貢獻,并揭示了聲子的貢獻隨著溫度上升可以與雜質貢獻相當,如圖2所示。

圖2. 轉角石墨烯中非線性霍爾效應的產生機制

該工作得到了科技部重點研發計劃、國家自然科學基金、北京市重點、中科院先導項目以及中部高校基礎科研基金的支持。

Junxi Duan*,?, Yu Jian?, Yang Gao*, Huimin Peng, Jinrui Zhong, Qi Feng, Jinhai Mao, and Yugui Yao*,“Giant Second-Order Nonlinear Hall Effect in Twisted Bilayer Graphene”,Phys. Rev. Lett. 129, 186801 (2022)  (?為共同一作,*為通訊作者)

URL:https://journals.aps.org/prl/abstract/10.1103/PhysRevLett.129.186801


分享到:

百家乐平台网| 百家乐官网如何抽千| 线上百家乐玩法| 澳门百家乐有哪些| 百家乐透明发牌机| 娱乐城大全| 百家乐官网有不有作弊| 百家乐官网投注方法| 三亚百家乐官网的玩法技巧和规则| 永利百家乐官网赌场娱乐网规则| 百家乐路单网下载| 太阳城娱乐场| 娱网棋牌官方网站| 百家乐官网大小是什么| 柬埔寨百家乐官网的玩法技巧和规则| 真人百家乐导航| 大发888博彩娱乐城| 六合彩图纸| 博彩百家乐官网网址| 百家乐官网塑料扑克牌盒| 百家乐官网押注方法| 网上百家乐开户送现金| 重庆百家乐的玩法技巧和规则 | 百家乐官网投资心得| 美女百家乐官网的玩法技巧和规则| 百家乐看牌技巧| 手机百家乐能兑换现金棋牌游戏| 大发888新老虎机| 肯博88国际| 百家乐官网算点子打法攻略| 百家乐开户首选| 大发888娱乐城客户端| 德安县| 王牌百家乐官网的玩法技巧和规则 | 御匾会百家乐娱乐城| 百家乐游戏机| 澳门百家乐官网网址多少| 百家乐官网详解| 网上百家乐赌博出| 真钱棋牌导航网| 百家乐官网看炉子的方法|