-
近日,北京理工大學徐寶華教授團隊在構筑聚離子液體-銀(PIL-Ag)雜...
-
近期,北京理工大學張加濤教授團隊在等離激元光催化材料合成與界面調控方面...
-
近日,北京理工大學前沿交叉科學研究院黃元教授、集成電路學院徐曉龍準聘教...
-
近日,北京理工大學外國語學院助理教授徐翠博士在國際頂級翻譯學期刊Bab...
-
近日,北京理工大學外國語學院助理教授紀悅博士在事件結構的語言與認知方面...
-
北京理工大學智能機器人研究所王化平教授團隊在微納機器人與生物醫學工程領...
-
基于此,北京理工大學化學與化工學院長聘副教授楊文和北京理工大學醫工融合...
-
日前,管理與經濟學院顏志軍教授主持的國家自然科學基金委重點國際(地區)...
-
近期,北京理工大學王金亮教授團隊在構筑基于區域規整異三鹵化端基的高效率...
-
近日,北京理工大學物理學院量子技術研究中心趙清、張博研究團隊與中國科學...
-
2022年下半年,北理工科研團隊分別在鈣鈦礦太陽能電池研究、環二核苷酸...
-
近日,北京理工大學前沿交叉科學研究院黃佳琦教授課題組在金屬鋰電池安全改...
-
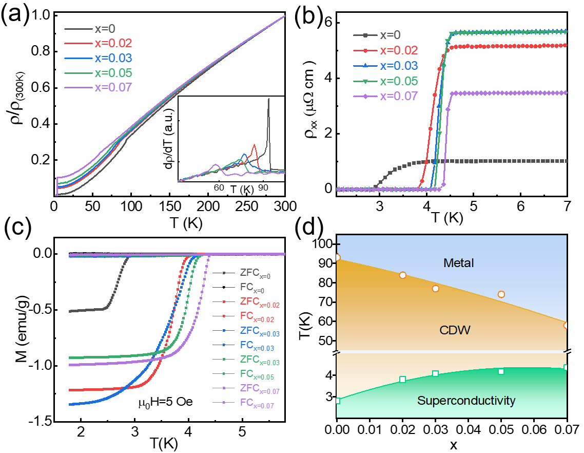
近日,北理工物理學院王秩偉特別研究員、姚裕貴教授團隊在Nb摻雜籠目結構...
-
近日,北京理工大學張帥龍教授在國際生物化學類頂級期刊《Chemical...
-
離散有序組裝體的構筑及性能研究是化學領域的研究熱點,通過拓撲結構的精準...
-
近日,北京理工大學物理學院姚裕貴教授、段俊熙副研究員團隊在轉角石墨烯體...
-
北京理工大學王蔚芝課題組近日與新加坡國立大學陳小元課題組合作,開發了基...
-
北京理工大學王蔚芝課題組近期開發了一種基于點擊化學的多肽功能化識別與調...
-
?10月14日,北京理工大學王博教授團隊在Science上發表文章“C...
-
近日,北京理工大學光電學院許廷發科研團隊在遠程病理成像領域取得新進展,...
-
?10月21日,北京理工大學化學與化工學院趙之平教授團隊在柔性MOF膜...
打百家乐官网纯打庄的方法|
威尼斯人娱乐场下载|
A8百家乐的玩法技巧和规则
|
金城百家乐平台|
百家乐筹码防伪套装|
固始县|
赌百家乐官网到底能赌博赢|
太阳城百家乐口诀|
诏安县|
为什么百家乐官网玩家越来越多选择网上百家乐官网
|
大发888官方c8|
大发888真人网址的微博|
百家乐赌场作弊|
牌九百家乐的玩法技巧和规则|
晓游棋牌游戏大厅下载|
百家乐官网桌布橡胶|
百家乐网站平台|
棋牌易发|
香港百家乐官网的玩法技巧和规则|
御匾会百家乐娱乐城|
菲律宾百家乐官网赌场娱乐网规则|
威尼斯人娱乐城提款|
含山县|
百家乐官网论坛|
大富豪棋牌游戏中心|
澳门百家乐娱乐城怎么样|
百家乐官网怎么赢博彩正网|
云顶国际娱乐网|
百家乐官网赌博故事|
百家乐前四手下注之观点|
澳门网络博彩|
大发888游戏平台df888|
澳门百家乐官网洗码提成查询|
自贡百家乐赌场娱乐网规则|
至尊百家乐官网停播|
百家乐职业赌徒的解密|
菠菜百家乐官网娱乐城|
网上百家乐必赢玩|
金公主百家乐官网现金网|
博彩网百家乐的玩法技巧和规则
|
百家乐作弊|